ÌâÄ¿ÄÚÈÝ

£¨8·Ö£©ÈË21ºÅȾɫÌåÉϵĶ̴®ÁªÖظ´ÐòÁУ¨STR£¬Ò»¶ÎºËÎôËáÐòÁУ©¿É×÷ΪÒÅ´«±ê¼Ç¶Ô21ÈýÌå×ÛºÏÖ¢×÷³ö¿ìËٵĻùÒòÕï¶Ï£¨ÒÅ´«±ê¼Ç¿ÉÀí½âΪµÈλ»ùÒò£©¡£ÏÖÓÐÒ»¸ö21ÈýÌå×ÛºÏÖ¢»¼¶ù£¬¸ÃÒÅ´«±ê¼ÇµÄ»ùÒòÐÍΪ£«£«Ò»£¬Æä¸¸Ç׸ÃÒÅ´«±ê¼ÇµÄ»ùÒòÐÍΪ£«Ò»£¬Ä¸Ç׸ÃÒÅ´«±ê¼ÇµÄ»ùÒòÐÍΪ£­Ò»¡£ÇëÎÊ£º

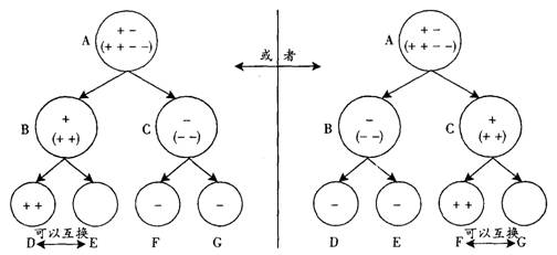
£¨1£©Ë«Ç×ÖÐ______________(Ì·½»òĸ·½)µÄ21ºÅȾɫÌåÔÚ¼õÊý·ÖÁÑÖÐδ·¢ÉúÕý³£·ÖÀë¡£ÔÚ¼õÊý·ÖÁѹý³ÌÖУ¬¼ÙÉèͬԴȾɫÌåµÄÅä¶ÔºÍ·ÖÀëÊÇÕý³£µÄ£¬ÇëÔÚͼÖÐAÒ»G´¦Ìîд´Ë¹ý³ÌÖÐδ·¢ÉúÕý³£·ÖÀëÒ»·½µÄ»ùÒòÐÍ£¨ÓÃÊ®¡¢Ò»±íʾ£©¡£

£¨2£©21ÈýÌå×ÛºÏÖ¢¸öÌåϸ°ûÖУ¬21ºÅȾɫÌåÉϵĻùÒòÔÚ±í´ïʱ£¬ËüµÄת¼ÊÇ·¢ÉúÔÚ________________ÖС£

£¨3£©ÄÜ·ñÓÃÏÔ΢¾µ¼ì²â³ö21ÈýÌå×ÛºÏÖ¢ºÍÁ­µ¶ÐÍϸ°ûƶѪ֢£¿

________________________________________

 

¡¾´ð°¸¡¿

£¨1£©¸¸Ç×£¬²¢ÕýÈ·Ìî³öͼÖÐAµÄ»ùÒòÐÍ£»ÕýÈ·Ìî³öͼÖÐB¡¢CµÄ»ùÒòÐÍ£»

ÕýÈ·Ìî³öͼÖÐD¡¢E¡¢F¡¢GµÄ»ùÒòÐÍ¡££¨A¡¢B¡¢CԲȦÖÐÀ¨ºÅÄÚ¡¢ÍâµÄÄÚÈÝÏà¶ÔÓ¦£©

ÇëÑϸñ²ÎÕÕÏÂͼÆÀ·Ö£º

£¨2£©Ï¸°ûºË

£¨3£©ÄÜ¡£ÔÚÏÔ΢¾µÏ£¬¿É¹Û²ìµ½21ÈýÌå×ÛºÏÖ¢»¼ÕßµÄϸ°ûÖÐȾɫÌåÊýÄ¿Òì³££¬Á­µ¶ÐÍϸ°ûƶѪ֢»¼Õߵĺìϸ°û³ÊÁ­µ¶ÐÎ

¡¾½âÎö¡¿

 

Á·Ï°²áϵÁдð°¸
Ïà¹ØÌâÄ¿

»Ø´ðÏÂÁйØÓÚÒÅ´«µÄÎÊÌâ

£¨¢ñ£©ÈË21ºÅȾɫÌåÉϵĶ̴®ÁªÖظ´ÐòÁУ¨STR£¬Ò»¶ÎºËÎôËáÐòÁУ©¿É×÷ΪÒÅ´«±ê¼Ç¶Ô21ÈýÌå×ÛºÏÖ¢×ö³ö¿ìËٵĻùÒòÕï¶Ï£¨ÒÅ´«±ê¼Ç¿ÉÀí½âΪµÈλ»ùÒò£©¡£ÏÖÓÐÒ»¸ö21ÈýÌå×ÛºÏÖ¢»¼¶ù£¬¸ÃÒÅ´«±ê¼ÇµÄ»ùÒòÐÍΪNNn£¬Æä¸¸Ç׸ÃÒÅ´«±ê¼ÇµÄ»ùÒòÐÍΪNn£¬Ä¸Ç׸ÃÒÅ´«±ê¼ÇµÄ»ùÒòÐÍΪnn¡£

(1)¸Ã21ÈýÌå×ÛºÏÖ¢µÄ»¼¶ùΪÄк¢£¬ÆäÌåϸ°ûµÄȾɫÌå×é³ÉÊÇ           £¬Ë«Ç×ÖÐÄÄһλµÄ21ºÅȾɫÌåÔÚ¼õÊý·ÖÁÑÖÐδ·¢ÉúÕý³£·ÖÀ룿        ¡£Æä¼õÊý·ÖÁѹý³ÌÈçÓÒͼ£¬ÔÚÓÒͼËùʾ¾«£¨ÂÑ£©Ï¸°û£¬²»Õý³£µÄÊÇ                       ¡£

(2)21ÈýÌå×ÛºÏÖ¢¸öÌåϸ°ûÖУ¬21ºÅȾɫÌåÉϵĻùÒòÔÚ±í´ïʱ£¬ËüµÄת¼ÊÇ·¢ÉúÔÚ

          ÖС£

(3)ÄÜ·ñÓÃÏÔ΢¾µ¼ì²â³ö21ÈýÌå×ÛºÏÖ¢ºÍÁ­µ¶ÐÍϸ°ûƶѪ֢£¿Çë˵Ã÷ÆäÒÀ¾Ý¡£

______________________________________________________________________

(4)ijÉúÎïµÄij¸öÌåÒò¸ö±ð»ùÒò¶ªÊ§£¬µ¼ÖÂÁ½¶ÔͬԴȾɫÌåÉϵĻùÒò×é³ÉΪABb£¬Ôò¶ªÊ§µÄ»ùÒòÊÇ           £¬×î¿ÉÄܵÄÔ­ÒòÊÇ                                       

(5)Èç¹ûÕâÖÖÔÚϸ°û¼õÊý·ÖÁÑÖеIJ»Õý³£Çé¿ö·¢ÉúÔÚÐÔȾɫÌ壬Æä²úÉúµÄÒì³£ÂÑ×Ó¿ÉÓëÒ»¸öÕý³£µÄ¾«×ÓÊܾ«¶øÐγɲ»Í¬ÀàÐ͵ĺÏ×Ó£¬ÈçÏÂͼËùʾ£¨×¢£ºÔÚ´ËÖ»ÏÔʾÐÔȾɫÌ壩¡£ÔòXOÐ͵ĺÏ×Ó¿ÉÄÜ·¢Óý³ÉÒ»¸ö¸öÌ壬µ«YOÐ͵ĺÏ×ÓÈ´²»ÄÜ£¬´ËÏÖÏó¿ÉÄܵÄÔ­ÒòÊÇ____________                                                        

£¨¢ò£©´ó²¿·ÖÆÕͨ¹ûÓ¬ÉíÌå³ÊºÖÉ«(YY)£¬¾ßÓд¿ºÏÒþÐÔ»ùÒòµÄ¸öÌå³Ê»ÆÉ«(yy)¡£µ«ÊÇ£¬¼´Ê¹ÊÇ´¿ºÏµÄYYƷϵ£¬Èç¹ûÓú¬ÓÐÒøÑεÄʳÎïËÇÑø£¬³¤³ÉµÄ³ÉÌåҲΪ»ÆÉ«£¬Õâ¾Í³ÆÎª¡°±íÐÍÄ£Ä⡱£¬ÊÇÓÉ»·¾³Ôì³ÉµÄÀàËÆÓÚijÖÖ»ùÒòÐÍËù²úÉúµÄ±íÏÖÐÍ¡£

(1)´Ó±äÒìµÄÀàÐÍ·ÖÎöÕâÖÖ¡°±íÐÍÄ£Ä⡱ÊôÓÚ___________________________________£¬ÀíÓÉÊÇ                            ¡£

(2)ÏÖÓÐÒ»Ö»»ÆÉ«¹ûÓ¬£¬ÄãÈçºÎÉè¼ÆÊµÑéÅжÏËüÊÇÊôÓÚ´¿ºÏyy»¹ÊÇ¡°±íÐÍÄ£Ä⡱?

                                                                          

Î¥·¨ºÍ²»Á¼ÐÅÏ¢¾Ù±¨µç»°£º027-86699610 ¾Ù±¨ÓÊÏ䣺58377363@163.com

¾«Ó¢¼Ò½ÌÍø