题目内容

氢化钠()是一种离子晶体,当反应时,生成.现有粉的混合物m g,跟足量水充分反应后,共收集质量为n g,计算混合物中粉的质量.

答案:
解析:

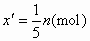
答案:(1)当过量时,设的物质的量为x,的物质的量为y,(x>y),此时粉为不足量

x      x   x

y   y            

过量的物质的量为:(x-y)mol

依据题意列方程:

解得:

9y=12n-m

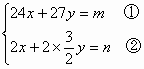
(2)当过量时,设的物质的量为的物质的量为().此时不足量

        

              

依据题意列方程

铝粉的质量为:

解析:是教材中没有讲过的化合物,依据试题给出的是离子化合物,可知的电子式为:反应的化学方程式是:

这是一个氧化还原反应,是氧化剂,是还原剂,1 mol 氧化1 mol 生成1 mol 和1 mol .这个反应生成的又可以跟粉反应,生成

   ②

上述①②两个反应产生的的质量之和为n g,的质量之和为m g.据此列出联立方程,即可求出粉的质量.应该注意①②两个化学反应之间的联系,反应①的产物是反应②的反应物,所以,求粉质量时,必然会有过量、不足量两组不同的解.


练习册系列答案
相关题目

违法和不良信息举报电话:027-86699610 举报邮箱:58377363@163.com

精英家教网