ÌâÄ¿ÄÚÈÝ

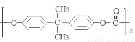
¿É½µ½â¾ÛºÏÎï¾Û̼Ëáõ¥µÄºÏ³É·ÏßÈçÏ£¬ÆäÖÆ±¸¹ý³ÌÖл¹¿ÉÖÆµÃ¸ß·Ö×Ó²ÄÁÏF¡£

»Ø´ðÏÂÁÐÎÊÌ⣺

£¨1£©·´Ó¦¢ÙµÄ·´Ó¦ÀàÐÍΪ?????????? ? ¡£

£¨2£©Ð´³öDµÄ½á¹¹¼òÎä ??????????? ¡£

£¨3£©E£¨C5H8O2£©·Ö×ÓÖÐËùº¬¹ÙÄÜÍŵÄÃû³Æ ???????? ¡£

£¨4£©Ð´³öÔÚÒ»¶¨Ìõ¼þÏÂDÓë·´Ó¦ºÏ³É¾Û̼õ¥µÄ»¯Ñ§·½³Ìʽ ????????????? ¡£

£¨5£©Ð´³öÒ»ÖÖͬʱ·ûºÏÏÂÁÐÌõ¼þµÄEµÄͬ·ÖÒì¹¹ÌåµÄ½á¹¹¼òʽ????????? ¡£

¢ÙÓëE¾ßÓÐÏàͬ¹ÙÄÜÍÅ

¢ÚÄÜ·¢ÉúÒø¾µ·´Ó¦

¢ÛHºË´Å¹²ÕñÆ×ÖÐÓÐËÄÖÖ²»Í¬»·¾³µÄÇâÔ­×Ó£¬±ÈÀý·Ö±ðΪ1:2:2:3

£¨6£©ÒÀ¾ÝÂÌÉ«»¯Ñ§Ô­Àí£¬Ô­×ÓµÄÀûÓÃÂÊΪ100%¡£ÒÔ±ûȲ¡¢¼×´¼ÎªÔ­ÁϿɺϳÉF£¬ÇëÉè¼ÆºÏ³É·Ïߣ¨ÎÞ»úÊÔ¼ÁÈÎÑ¡£©???????????? ¡£ºÏ³É·ÏßÁ÷³ÌͼʾÀýÈçÏ£º

 

¡¾´ð°¸¡¿

£¨1£©¼Ó³É·´Ó¦£¨2£©£¨3£©Ì¼Ì¼Ë«¼ü»òõ¥»ù

£¨4£©

£¨5£©»ò£»

£¨6£©

¡¾½âÎö¡¿

ÊÔÌâ·ÖÎö£º£¨1£© Óë?? CH2=CHCH3·¢Éú¼Ó³É·´Ó¦µÃµ½A£º£»£¨2£©AÑõ»¯µÃµ½BºÍC£º£»B¡¢C·¢Éú·´Ó¦µÃµ½D£»DÓëÔÚÒ»¶¨Ìõ¼þÏ·¢Éú¾ÛºÏ·´Ó¦µÃµ½¾Û̼Ëáõ¥¡££¨3£©CÓëHCN·¢Éú¼Ó³É·´Ó¦µÃµ½£»ÓëCH3OH¼°Å¨ÁòËá·¢Éú·´Ó¦µÃµ½E£º¡£EÖк¬ÓÐ̼̼˫¼üºÍõ¥»ù¡£E·¢Éú¼Ó¾Û·´Ó¦µÃµ½¡££¨4£©ÔÚÒ»¶¨Ìõ¼þÏÂÓë·´Ó¦ºÏ³É¾Û̼õ¥µÄ»¯Ñ§·½³ÌʽΪ¡££¨5£©Í¬Ê±·ûºÏÌõ¼þµÄEµÄͬ·ÖÒì¹¹ÌåµÄ½á¹¹¼òʽΪ£»£¨6£©ÒÔ±ûȲ¡¢¼×´¼ÎªÔ­ÁϿɺϳÉFµÄºÏ³É·ÏßΪ¡£

¿¼µã£º¿¼²éÓлúºÏ³ÉÓëÍÆ¶Ï¡¢°üÀ¨»¯Ñ§·´Ó¦ÀàÐÍ¡¢¹ÙÄÜÍŵÄÃû³Æ¡¢½á¹¹¼òʽ¼°Í¬·ÖÒì¹¹ÌåµÄÊéд¡¢»¯Ñ§·½³ÌʽµÄÊéд¼°ºÏ³É·ÏßµÄÉè¼ÆµÄ֪ʶ¡£

 

Á·Ï°²áϵÁдð°¸
Ïà¹ØÌâÄ¿

Î¥·¨ºÍ²»Á¼ÐÅÏ¢¾Ù±¨µç»°£º027-86699610 ¾Ù±¨ÓÊÏ䣺58377363@163.com

¾«Ó¢¼Ò½ÌÍø