题目内容
已知如图1:以乙炔为原料,通过图2所示步骤能合成有机物中间体E(转化过程中的反应条件及部分产物已略去).其中,H、B、C、D分别代表一种有机物;B的化学式为C4H10O2,分子中无甲基.
请回答下列问题:
(1)H生成B的化学反应类型是 .
(2)写出生成A的化学方程式: .
(3)B在浓硫酸催化下加热,可生成多种有机物.写出2种相对分子质量比H小的有机物的结构简式: 、 .
(4)写出C生成D的化学方程式: .
(5)含有苯环,且与E互为同分异构体的酯有 种,写出其中一种同分异构体的结构简式: .
【答案】分析:(1)根据乙炔与B的分子式C4H10O2,结合反应信息可知,乙炔
A是1分子乙炔与2分子甲醛发生加成反应;
(2)由信息可知,乙炔中H原子活泼,与醛发生加成反应,醛基中C=O双键中其中1个键断裂,乙炔中H原子连接醛基中O原子,乙炔中C原子与醛基中C原子连接,结合(1)中分析可知,H为HOCH2C≡CCH2OH;
(3)HOCH2C≡CCH2OH与氢气发生加成反应生成B为HOCH2CH2CH2CH2OH,在浓硫酸催化下加热,羟基发生消去反应(或成环状醚键)生成的物质比H的相对分子质量小;
(4)由E的结构,结合反应信息可知,HOCH2CH2CH2CH2OH氧化生成的C为OHCCH2CH2CHO,C发生给出的信息中的反应生成D为
,再发生消去反应生成E;
(5)含有苯环,且与E互为同分异构体的酯,结合E的结构可知,该同分异构体中含有1个酯基、1个苯环,若侧链只有1个取代基,可以为-OOCCH3、-COOCH3、-CH3OOCH,若侧链含有2个取代基,为-CH3、-OOCH,有邻、间、对三种位置关系,据此解答.
解答:解:(1)根据乙炔与B的分子式C4H10O2,结合反应信息可知,乙炔
H是1分子乙炔与2分子甲醛发生加成反应,故答案为:加成反应;
(2)由信息可知,乙炔中H原子活泼,与醛发生加成反应,醛基中C=O双键中其中1个键断裂,乙炔中H原子连接醛基中O原子,乙炔中C原子与醛基中C原子连接,根据乙炔与B的分子式C4H10O2可知,乙炔
H是1分子乙炔与2分子甲醛发生加成反应,H为HOCH2C≡CCH2OH,反应方程式为
,
故答案为:
;
(3)HOCH2C≡CCH2OH与氢气发生加成反应生成B为HOCH2CH2CH2CH2OH,在浓硫酸催化下加热,羟基发生消去反应(或成环状醚键)生成的物质比A的相对分子质量小,符合条件有:CH2=CH-CH2CH2OH、CH2=CH-CH=CH2、
,故答案为:CH2=CH-CH2CH2OH;CH2=CH-CH=CH2;
(4)由E的结构,结合反应信息可知,HOCH2CH2CH2CH2OH氧化生成的C为OHCCH2CH2CHO,C发生给出的信息中的反应生成D为
,故C生成D的化学方程式为:
,
故答案为:
;
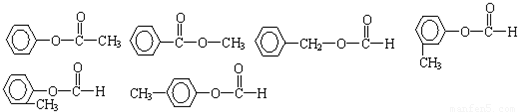
(5)含有苯环,且与E互为同分异构体的酯,结合E的结构可知,该同分异构体中含有1个酯基、1个苯环,若侧链只有1个取代基,可以为-OOCCH3、-COOCH3、-CH3OOCH,若侧链含有2个取代基,为-CH3、-OOCH,有邻、间、对三种位置关系,故符合条件的同分异构体由3+3=6种,结构简式为:
,
故答案为:
等.
点评:本题考查有机物的推断与合成,难度中等,充分利用反应信息及B的分子式、E的结构式推断A与C是关键,是对学生的自学能力、分析能力的考查.
(2)由信息可知,乙炔中H原子活泼,与醛发生加成反应,醛基中C=O双键中其中1个键断裂,乙炔中H原子连接醛基中O原子,乙炔中C原子与醛基中C原子连接,结合(1)中分析可知,H为HOCH2C≡CCH2OH;
(3)HOCH2C≡CCH2OH与氢气发生加成反应生成B为HOCH2CH2CH2CH2OH,在浓硫酸催化下加热,羟基发生消去反应(或成环状醚键)生成的物质比H的相对分子质量小;
(4)由E的结构,结合反应信息可知,HOCH2CH2CH2CH2OH氧化生成的C为OHCCH2CH2CHO,C发生给出的信息中的反应生成D为
(5)含有苯环,且与E互为同分异构体的酯,结合E的结构可知,该同分异构体中含有1个酯基、1个苯环,若侧链只有1个取代基,可以为-OOCCH3、-COOCH3、-CH3OOCH,若侧链含有2个取代基,为-CH3、-OOCH,有邻、间、对三种位置关系,据此解答.
解答:解:(1)根据乙炔与B的分子式C4H10O2,结合反应信息可知,乙炔
(2)由信息可知,乙炔中H原子活泼,与醛发生加成反应,醛基中C=O双键中其中1个键断裂,乙炔中H原子连接醛基中O原子,乙炔中C原子与醛基中C原子连接,根据乙炔与B的分子式C4H10O2可知,乙炔
故答案为:
(3)HOCH2C≡CCH2OH与氢气发生加成反应生成B为HOCH2CH2CH2CH2OH,在浓硫酸催化下加热,羟基发生消去反应(或成环状醚键)生成的物质比A的相对分子质量小,符合条件有:CH2=CH-CH2CH2OH、CH2=CH-CH=CH2、
(4)由E的结构,结合反应信息可知,HOCH2CH2CH2CH2OH氧化生成的C为OHCCH2CH2CHO,C发生给出的信息中的反应生成D为
故答案为:
(5)含有苯环,且与E互为同分异构体的酯,结合E的结构可知,该同分异构体中含有1个酯基、1个苯环,若侧链只有1个取代基,可以为-OOCCH3、-COOCH3、-CH3OOCH,若侧链含有2个取代基,为-CH3、-OOCH,有邻、间、对三种位置关系,故符合条件的同分异构体由3+3=6种,结构简式为:
故答案为:
点评:本题考查有机物的推断与合成,难度中等,充分利用反应信息及B的分子式、E的结构式推断A与C是关键,是对学生的自学能力、分析能力的考查.
练习册系列答案
相关题目