题目内容
充分燃烧只含有C、H、O的一类有机物,消耗O2的体积与生成CO2的体积之比为9∶8(相同条件下)。
(1)这类有机物最简通式是下列各式中的________(填字母)。
( )
A. Cn(H2O)m。
B. (C2H)n(H2O)m。
C. (C2O)n(H2O)m。
D. (CO)n(H2O)m
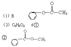
(2)若符合该通式的某有机物的相对分子质量为136,则其化学式为________;若该有机物属于酯类,且分子中含有苯环,则其可能的同分异构体有________种,写出其中任意两种的结构简式:①________;②________。
答案:
解析:
解析:
|
练习册系列答案
相关题目