题目内容
百合醛
是一种香料,可由异丁基苯经一系列的反应得到,其合成路线如下图所示:

试回答下列问题:
(1)写出A和B的结构简式:A ;B .
(2)反应④的反应类型是 ,其反应的化学方程式是 .
试回答下列问题:
(1)写出A和B的结构简式:A
(2)反应④的反应类型是
分析:一定条件下,异丁基苯和A发生加成反应生成对异丁基苯甲醇,根据原子守恒知,A是HCHO,对异丁基苯甲醇被氧气氧化生成对异丁基苯甲醛,对异丁基苯甲醛和丙醛发生加成反应生成
,
反应生成C,C和氢气发生加成反应生成
,所以
发生消去反应生成C.
解答:解:一定条件下,异丁基苯和A发生加成反应生成对异丁基苯甲醇,根据原子守恒知,A是HCHO,对异丁基苯甲醇被氧气氧化生成
,对异丁基苯甲醛和丙醛发生加成反应生成
,
反应生成C,C和氢气发生加成反应生成
,所以
发生消去反应生成C.
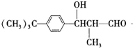
(1)通过以上分析知,A的结构简式为HCHO,B的结构简式为:
,
故答案为:HCHO,
;
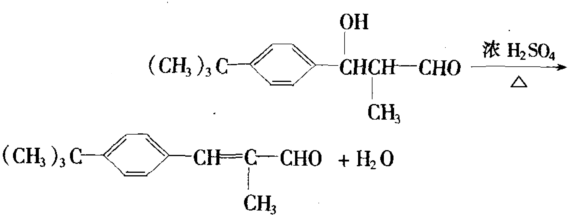
(2)在浓硫酸作催化剂、加热条件下,
发生消去反应生成C,反应方程式为:
,
故答案为:消去反应,
.
(1)通过以上分析知,A的结构简式为HCHO,B的结构简式为:
故答案为:HCHO,
(2)在浓硫酸作催化剂、加热条件下,
故答案为:消去反应,
点评:本题考查了有机物的推断,明确有机物的官能团及其性质是解本题关键,难度中等.
练习册系列答案
相关题目