题目内容
|
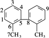
已知C-C键可以绕键轴自由旋转,结构简式为 | |
| [ ] | |
A. |
分子中至少有8个碳原子处于同一平面上 |
B. |
分子中至少有9个碳原子处于同一平面上 |
C. |
该烃的一氯取代物最多有4种 |
D. |
该烃是苯的同系物 |
答案:B
解析:
解析:
|
该烃中如图上9个碳原子一定位于同一平面内. 该烃的一氯取代物最多有5种.
|
练习册系列答案
相关题目
|
已知C-C键可以绕键轴自由旋转,结构简式为 | |
| [ ] | |
A. |
分子中至少有8个碳原子处于同一平面上 |
B. |
分子中至少有9个碳原子处于同一平面上 |
C. |
该烃的一氯取代物最多有4种 |
D. |
该烃是苯的同系物 |