题目内容

有机物A的相对分子量为156,完全燃烧后只生成CO2和H2O。

(1)写出A的4种可能分子式:______________、______________、______________、______________。

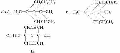
(2)若A为链烃,它在CCl4溶液中跟Br2不起反应,但是在光照下Br2可以跟A起取代反应。取代反应的产物的相对分子量为235的只有两种:产量较多的一种为B,产量较少的一种为C。另外还可得到相对分子量为314的产物多种。

请写出A、B、C的结构简式:A:______________B:______________C:______________

(1)C11H24、C10H20O、C9H16O2  C8H12O3


练习册系列答案
相关题目

违法和不良信息举报电话:027-86699610 举报邮箱:58377363@163.com

精英家教网