题目内容

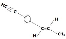
下列关于 的说法正确的是

A.所有原子可能都在同一平面上        B.最多只可能有9个碳原子在同一平面

C.有7个碳原子可能在同一直线        D.只可能有5个碳原子在同一直线

 

【答案】

D

【解析】因为结构中含有甲基,所以所有原子不可能都在同一平面上,A不正确;因为苯环和碳碳双键是共平面的,而碳碳三键是直线型的,所以10个碳原子均有可能在同一平面上,B不正确;由可知C不正确,D正确。答案选D。

 

练习册系列答案
相关题目

违法和不良信息举报电话:027-86699610 举报邮箱:58377363@163.com

精英家教网