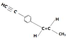
题目内容
下列关于
的说法正确的是
A.所有原子可能都在同一平面上 B.最多只可能有9个碳原子在同一平面
C.有7个碳原子可能在同一直线 D.只可能有5个碳原子在同一直线
【答案】
D
【解析】因为结构中含有甲基,所以所有原子不可能都在同一平面上,A不正确;因为苯环和碳碳双键是共平面的,而碳碳三键是直线型的,所以10个碳原子均有可能在同一平面上,B不正确;由
可知C不正确,D正确。答案选D。
练习册系列答案
相关题目