题目内容
一只灯泡上标有“12V 12W”的字样,(若不考虑温度对灯丝电阻的影响)则(1)这只灯泡的额定电流是 电阻是 ;
(2)要把这只灯泡接在电压为15V的电源上使用,应 联一只 欧的电阻;
(3)若灯泡两端的实际电压为9V,则灯泡的实际功率是 ,额定功率是 ;
(4)若灯泡中的实际电流为0.8A,则灯泡的实际功率是 ;
(5)若灯泡的实际功率是3w,则电路中的电流是 ;
(6)若灯泡的实际电压变为额定电压的4/5,则灯泡的实际功率变为额定功率的 .
【答案】分析:(1)已知额定电压和额定功率,根据公式P=UI可求电流,根据公式
可求电阻.
(2)电源电压超过灯泡的额定电压,需要分压,所以串联电阻,根据已知电流和分担的电压可求串联电阻.
(3)已知电阻和实际电压,根据公式
可求实际功率,额定功率不变.
(4)已知电流,根据公式P=I2R可求灯泡实际功率.
(5)已知灯泡的实际功率,根据公式P=I2R可求电流.
(6)电压变化,电阻不变,根据公式
可求实际功率的变化.
解答:解:(1)I=
,电阻
.
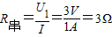
(2)分担电压U1=U-U额=15V-12V=3V,串联电阻
.
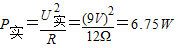
(3)
,额定功率不变为12W.
(4)P1=I12R=(0.8A)2×12Ω=7.68W.
(5)
.
(6)
.
故答案为:1;12;串;3;6.75;12;7.68;0.5;
.
点评:本题考查电流、电阻、实际功率、额定功率的计算以及各种电学公式的灵活应用,本题的关键是知道电阻始终不变.
(2)电源电压超过灯泡的额定电压,需要分压,所以串联电阻,根据已知电流和分担的电压可求串联电阻.
(3)已知电阻和实际电压,根据公式
(4)已知电流,根据公式P=I2R可求灯泡实际功率.
(5)已知灯泡的实际功率,根据公式P=I2R可求电流.
(6)电压变化,电阻不变,根据公式
解答:解:(1)I=
(2)分担电压U1=U-U额=15V-12V=3V,串联电阻
(3)
(4)P1=I12R=(0.8A)2×12Ω=7.68W.
(5)
(6)
故答案为:1;12;串;3;6.75;12;7.68;0.5;
点评:本题考查电流、电阻、实际功率、额定功率的计算以及各种电学公式的灵活应用,本题的关键是知道电阻始终不变.
练习册系列答案
相关题目