题目内容
甲乙两个物体质量之比为3:2,体积之比为1:3,那么它们密度之比为( )
| A.1:2 | B.2:1 | C.2:9 | D.9:2 |
D
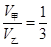
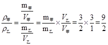
解析试题分析:根据题意知,
,
,
,选D。
考点:密度公式的应用
点评:解决本题的关键是熟知密度公式的应用
练习册系列答案
相关题目
题目内容
甲乙两个物体质量之比为3:2,体积之比为1:3,那么它们密度之比为( )
| A.1:2 | B.2:1 | C.2:9 | D.9:2 |
D
解析试题分析:根据题意知,
,
,
,选D。
考点:密度公式的应用
点评:解决本题的关键是熟知密度公式的应用