题目内容
分析:凸透镜有会聚光线的作用,凹透镜有发散光线的作用.根据入射光和折射光的方向,判断光线被会聚了还是发散了.若光线被会聚则填凸透镜,若光线被发散则填凹透镜.
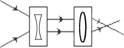
解答:解:①折射光线比起入射光线更加远离主光轴,所以该透镜对光线有发散作用,因此填凹透镜;
②平行于主光轴的光线经凸透镜折射后过焦点.
如图所示:

②平行于主光轴的光线经凸透镜折射后过焦点.
如图所示:
点评:本题考查了凸透镜和凹透镜的特点:凹透镜对光线有发散作用,凸透镜对光线有会聚作用.
练习册系列答案
相关题目