题目内容
某实验小组设计了一种测定风力的装置,其原理如图所示,质量m=0.6kg的小球用一根轻质细金属丝OP悬于O点,AB为一根水平放置的电阻丝,其电阻随长度均匀变化,它与细金属丝始终保持良好接触且无摩擦,R0=10Ω为电路保护电阻,已知AB=10cm,且单位长度电阻λ=2Ω/cm,悬挂点O与电阻丝A端的距离为5cm。无风时细金属丝自然下垂,在A点与电阻丝接触,这时电流表示数为0.5A。有风时细金属丝将发生偏转,巳知偏转角θ与小球所受风力F满足:F=mg*tanθ(g取10N/kg.电源电压保持不变,细金属丝的 电阻忽略不计)。求:
(1)电源电压;
(2)若风力F增大,电流表示数如何变化?请说明由;
(3)如果将电流表盘面刻度改成风力刻度,那么在1A刻度处应标上多少牛?
(1)电源电压;
(2)若风力F增大,电流表示数如何变化?请说明由;
(3)如果将电流表盘面刻度改成风力刻度,那么在1A刻度处应标上多少牛?
解:
(1)∵λ=2Ω/cm ∴RAB=20Ω 无风时,金属丝自然下垂在A点与电阻丝接触,U=IR总=I(R0+RAB)=0.5A(10Ω+20Ω)=15V;
(2)若风力F增大,电流表示数变大。电源电压不变时,电阻丝连入电路的电阻变小,故电流表示数变大。
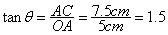
(3)∵
,
∴
又∵
∴


∴F=mg·tanθ=0.6kg×10N/kg×1.5=9N。
(1)∵λ=2Ω/cm ∴RAB=20Ω 无风时,金属丝自然下垂在A点与电阻丝接触,U=IR总=I(R0+RAB)=0.5A(10Ω+20Ω)=15V;
(2)若风力F增大,电流表示数变大。电源电压不变时,电阻丝连入电路的电阻变小,故电流表示数变大。
(3)∵
∴
又∵
∴
∴F=mg·tanθ=0.6kg×10N/kg×1.5=9N。
练习册系列答案
相关题目