ÌâÄ¿ÄÚÈÝ

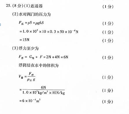
ÈçÍ¼ÎªÄ³×ø±ãÆ÷µÄ½á¹¹Ê¾Òâͼ¡£ÒÑÖª¸¡Í²µÄÖØÁ¦Îª2N£¬Ò»°ãÇé¿öϸ¡Í²¶Ô½øË®·§ÃÅÊ©¼ÓÊúÖ±ÏòÉÏΪ4NµÄÁ¦Ê±½øË®¹Ü¾ÍÍ£Ö¹ÏòË®Ïäעˮ¡£ÅÅË®·§ÉϱíÃæ³ÊÔ²ÐΣ¬Ãæ»ýΪ50cm2£¬Í¨¹ýϸÏßÓë³åË®°âÊÖÏàÁ¬¡££¨g=10N/kg£©

£¨1£©×ø±ãÆ÷¾ßÓзÀ³ôµÄÓŵãÊÇÒòΪͰÉíºÍÅÅË®¹Ü¹¹³ÉÁËÒ»¸ö_________µÄÔµ¹Ê¡£

£¨2£©µ±ÅÅË®·§´¦ÓÚ30cmÉʱ£¬ËüÊܵ½Ë®µÄѹÁ¦Îª¶àÉÙ£¿£¨Çëд³ö±ØÒªµÄ¼ÆËã¹ý³Ì£©

£¨3£©½øË®¹ÜÍ£Ö¹ÏòË®Ïäעˮʱ£¬¸¡Í²½þÈëË®ÖеÄÌå»ýΪ¶àÉÙ£¿£¨Çëд³ö±ØÒªµÄ¼ÆËã¹ý³Ì£©

 

Á·Ï°²áϵÁдð°¸
Ïà¹ØÌâÄ¿

Î¥·¨ºÍ²»Á¼ÐÅÏ¢¾Ù±¨µç»°£º027-86699610 ¾Ù±¨ÓÊÏ䣺58377363@163.com

¾«Ó¢¼Ò½ÌÍø