题目内容
下表是两个实践活动小组的实习报告的部分内容,你任选一个组的测量方案和数据,计算出铁塔的高AB(精确到1m, 计算过程在表格中完成).
|
练习册系列答案
相关题目
下表是两个实践活动小组的实习报告的部分内容,请你任选一个组测量方案和数据,计算出铁塔的高AB(精确到1米,计算过程在表格中完成).
| 题目 | 测量底部可以达到的铁塔的高 | |
| 组别 | 甲组 | 乙组 |
| 测 量 目 标 | | |
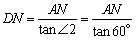
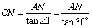
| 测量 数据 | ∠1=30°∠2=60° EF=30m CE=DF=NB=1.3m | ∠α=27°27′ BP=50m MP=NB=1.3m |
| 计 算 | 选择______组测量方案 | |
| 参考 数据 | cos27°27′≈0.887 tan27°27′≈0.520 cot27°27′≈1.925 | |
下表是两个实践活动小组的实习报告的部分内容,请你任选一个组测量方案和数据,计算出铁塔的高AB(精确到1米,计算过程在表格中完成).
| 题目 | 测量底部可以达到的铁塔的高 | |
| 组别 | 甲组 | 乙组 |
| 测 量 目 标 | | |
| 测量 数据 | ∠1=30°∠2=60° EF=30m CE=DF=NB=1.3m | ∠α=27°27′ BP=50m MP=NB=1.3m |
| 计 算 | 选择______组测量方案 | |
| 参考 数据 | cos27°27′≈0.887 tan27°27′≈0.520 cot27°27′≈1.925 | |
下表是两个实践活动小组的实习报告的部分内容,请你任选一个组测量方案和数据,计算出铁塔的高AB(精确到1米,计算过程在表格中完成).
| 题目 | 测量底部可以达到的铁塔的高 | |
| 组别 | 甲组 | 乙组 |
| 测 量 目 标 | | |
| 测量 数据 | ∠1=30°∠2=60° EF=30m CE=DF=NB=1.3m | ∠α=27°27′ BP=50m MP=NB=1.3m |
| 计 算 | 选择______组测量方案 | |
| 参考 数据 | cos27°27′≈0.887 tan27°27′≈0.520 cot27°27′≈1.925 | |
(2006•曲靖)下表是两个实践活动小组的实习报告的部分内容,请你任选一个组测量方案和数据,计算出铁塔的高AB(精确到1米,计算过程在表格中完成).
| 题目 | 测量底部可以达到的铁塔的高 | |
| 组别 | 甲组 | 乙组 |
| 测 量 目 标 | | |
| 测量 数据 | ∠1=30°∠2=60° EF=30m CE=DF=NB=1.3m | ∠α=27°27′ BP=50m MP=NB=1.3m |
| 计 算 | 选择______组测量方案 | |
| 参考 数据 | cos27°27′≈0.887 tan27°27′≈0.520 cot27°27′≈1.925 | |