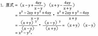
题目内容
化简:
的结果是[ ]
A.y2-x2 . B.x2-y2. C.x2-4y2. D.4x2-y2
![]()
∴选B.
练习册系列答案
相关题目
化简2
的结果是( )
|
A、2
| ||||
B、
| ||||
C、6
| ||||
D、
|
若b<0,化简
的结果是( )
| -ab3 |
A、-b
| ||
B、b
| ||
C、-b
| ||
D、b
|
化简
的结果是( )
| 8 |
| A、2 | ||
| B、4 | ||
C、2
| ||
D、±2
|