题目内容
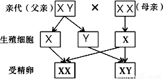
如图是人性别决定示意图,请回答相关问题:(1)请在图中方框内填入相关性染色体.
(2)由图可知,父亲能产生数量相同的两种类型精子,而母亲只能产生一种类型的卵细胞.因此,生男生女取决于______(填“精子”或“卵细胞”)的类型,生男生女的概率各占______.
(3)受精卵形成的场所是______,胎儿发育的场所是______,胎儿发育期间所需的养料和氧气是通过______和脐带从母体获得的.
【答案】分析:此题考查的知识点是人的性别的遗传.解答时可以从人的性别遗传图解方面来切入.解答此类题目的关键是理解人类的性别遗传过程.
解答:
解:(1)在亲代的生殖细胞形成过程中,经过减数分裂,染色体彼此分离,男性产生两种类型的精子--含22+X染色体的精子和含22+Y染色体的精子.女性则只产一种含22+X染色体的卵细胞.受精时,如果是含22+X的精子与卵子结合,就产生具有44+XX的受精卵并发育成女性;如果是含22+Y的精子与卵子结合,就产生具有44+XY的受精卵并发育成为男性.因此人性别决定示意图如图:
(2)由图可知,父亲能产生数量相同的两种类型精子,而母亲只能产生一种类型的卵细胞.因此,生男生女取决于精子”的类型,由于男性可产生数量相等的X精子与Y精子,加之它们与卵子结合的机会相等,所以每次生男生女的概率是相等的.在整个人群中男女性别之比大致1:1,即生男生女的概率各占50%(一半、1/2).
(3)精子进入阴道,缓缓通过子宫,在输卵管内与卵细胞相遇,精子与卵细胞结合形成受精卵.所以受精卵的形成部位在输卵管.此后受精卵不断运动和分裂,最终植入子宫内壁上,怀孕开始.怀孕后胚胎继续发育,其中的细胞开始分化成各种组织,由组织再形成各种器官、系统.逐渐发育成胚胎,胚胎在母体内大约经过40周,即280天,发育成熟后从阴道产出,这个过程叫分娩.分娩的结束标志着婴儿的诞生.可见胎儿(母体怀孕第8周--第40周)发育的场所是子宫.胎儿生活在子宫内半透明的液体--羊水中,通过胎盘从母体交换营养与废物.
故答案为:
(1)
;
(2)精子; 50%;
(3)输卵管;子宫;胎盘.
点评:解答此类题目的关键是灵活运用所学知识解释实际问题.
解答:
(2)由图可知,父亲能产生数量相同的两种类型精子,而母亲只能产生一种类型的卵细胞.因此,生男生女取决于精子”的类型,由于男性可产生数量相等的X精子与Y精子,加之它们与卵子结合的机会相等,所以每次生男生女的概率是相等的.在整个人群中男女性别之比大致1:1,即生男生女的概率各占50%(一半、1/2).
(3)精子进入阴道,缓缓通过子宫,在输卵管内与卵细胞相遇,精子与卵细胞结合形成受精卵.所以受精卵的形成部位在输卵管.此后受精卵不断运动和分裂,最终植入子宫内壁上,怀孕开始.怀孕后胚胎继续发育,其中的细胞开始分化成各种组织,由组织再形成各种器官、系统.逐渐发育成胚胎,胚胎在母体内大约经过40周,即280天,发育成熟后从阴道产出,这个过程叫分娩.分娩的结束标志着婴儿的诞生.可见胎儿(母体怀孕第8周--第40周)发育的场所是子宫.胎儿生活在子宫内半透明的液体--羊水中,通过胎盘从母体交换营养与废物.
故答案为:
(1)
(2)精子; 50%;
(3)输卵管;子宫;胎盘.
点评:解答此类题目的关键是灵活运用所学知识解释实际问题.
练习册系列答案
相关题目