2.下列说法错误的是
A.实验室中少量金属钠通常保存在煤油中
B.氧气、液氯是单质,氯水、氯化氢、纯碱是化合物
C.光线通过胶体,可产生丁达尔效应
D.“只要工夫深,铁杵磨成针” 这句话只涉及物理变化
1.广州将于今年承办第16届亚运会。下列措施有利于节能减排、改善环境质量的有
①在大亚湾核电站已安全运行多年的基础上,广东将继续发展核电,以减少火力发电带来的二氧化硫和二氧化碳排放问题
②积极推行“限塑令”,加快研发利用二氧化碳合成的聚碳酸酯类可降解塑料
③加速建设地铁、轻轨等轨道交通,促进珠三角城市一体化发展,减少汽车尾气排放
④发展低碳经济、循环经济,推广可利用太阳能、风能的城市照明系统
⑤使用生物酶降解生活废水中的有机物,使用填埋法处理未经分类的生活垃圾
A.①②③④ B.①②⑤ C.①②④⑤ D.③④⑤
28.(14分)请根据以下补充知识解答:
(R代表烃基,下同。)
1, 4―丁二醇是生产工程塑料PBT(聚对苯二甲酸丁二酯)的重要原料,它可以通过下图两种不同的合成路线制备,请写出相应物质的结构简式:
(1)请写结构简式 A ________ C ________ G ________; E的电子式________
(( 2 ) B→C的反应类型
( 3 ) 写出D→丁二醇的化学方程式
( 4 ) 由对苯二甲酸生成G的化学方程式
铜仁一中2011届高三第二次月考
27.(16分) 甲、乙、丙为常见单质,乙、丙两元素在周期表中位于同一主族。X、A、B、C、D、E、F、G均为常见的化合物,其中A和X的摩尔质量相同,A、G的焰色反应为黄色。在一定条件下,各物质相互转化关系如右图。请回答:
(1)写化学式:丙_____ E________
(2)X的电子式为_____________。
(3)写出反应⑥的化学反应方程式: 。
(4)写出B与G溶液反应生成F的离子方程式: 。
(5)在上图的反应中,不属于氧化还原反应的是(填序号)___________________
(6)将8 g 乙在足量丙中燃烧,所得气体D通入100mL 3.5mol·L-1的B溶液中,完全吸收后,溶液中的溶质及其物质的量分别为 ;若同体积的气体D通入100mL 2.5mol·L-1的B溶液中,完全吸收后,溶液中所含离子的物质的量浓度由大到小的顺序为 。
26.(12分)某校化学课外小组为了鉴别碳酸钠和碳酸氢钠两种白色固体,用不同的方法做了以下实验,如图Ⅰ-Ⅳ所示。
(1)图Ⅰ、Ⅱ所示实验中能够达到实验目的的是(填实验装置序号) 。
(2)图Ⅲ、Ⅳ所示实验均能鉴别这两种物质,与实验Ⅲ相比,实验Ⅳ的优点是(填选项序号) 。
A.Ⅳ比Ⅲ复杂
B.Ⅳ比Ⅲ安全
C.Ⅳ比Ⅲ操作简便
D.Ⅳ可以做到用同一套装置进行对比实验,而Ⅲ不行
(3)若用实验Ⅳ验证碳酸钠和碳酸氢钠的稳定性。则试管B中应装入的固体最好是(填化学式) 。
(4)某同学将质量为m1的NaHCO3固体放在试管中加热分解一段时间后,恢复到原条件,测得剩余固体的质量为m2。试管中发生的反应的化学方程式是 ;生成的Na2CO3的质量为 。
(5)将碳酸氢钠溶液与澄清石灰水混合并充分反应。
①当澄清石灰水过量时,其离子方程式为
。
②当碳酸氢钠与氢氧化钙物质的量之比为2∶1时,所得溶液中溶质的化学式为 ,
25.(10分)某一反应体系中的物质有:HCl、SnCl2、H2SnCl6、As、H3AsO3、H2O,
已知:As是产物之一。
(1)写出并配平该反应的化学方程式 ;
(2)在该反应中,得电子的物质是 ,被氧化的元素是 ;
(3)在反应中,每转移1 mol电子,消耗(或生成)HCl mol;
(4)下列叙述正确的是 (填写序号)。
a.在相同条件下,第VIIA族元素的阴离子的还原性从上到下逐渐增强
b.Sn和Pb位于同一主族,其+4价的化合物均很稳定
c.在相同条件下,还原性顺序:S2->I->Fe2+>Br->Cl-
24.在一定温度下,向足量的饱和溶液中加入1.06 g无水,搅拌后静置,最终所得晶体的质量 ( )
A.等于1.06 g B.大于1.06 g而小于2.86
C.等于2.86 g D.大于2.86 g
二、填空题(共4题,共52分)
23.下列除去杂质的实验方法不正确的是( )
A.除去CO2中少量HCl气体:通过饱和NaHCO3溶液后再干燥气体
B.除去Na2CO3固体中少量NaHCO3:置于坩埚中加热
C.除去Cl2中的HCl气体:通过NaOH溶液
D.除去FeCl3酸性溶液中少量的FeCl2:通入稍过量的Cl2 .
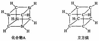
22.已知化合物A()与立方烷()的分子结构相似,如下图:
则的二氯代物的同分异构体数目为 ( )
A.3 B.4 C.5 D.6
21.现有四组混合物:①乙酸乙酯和乙酸钠溶液 ②乙醇和甘油 ③溴化钠和单质溴的水溶液 ④碘和四氯化碳的混合物,分离以上各混合物的正确方法依次是( )
A 分液、萃取、蒸馏、萃取 B 萃取、蒸馏、分液、萃取
C 分液、蒸馏、萃取、蒸馏 D 蒸馏、萃取、分液、萃取