15、X、Y两种有机物的分子式不同,但均含有C、H或C、H、O,将X、Y以任意比例混合,只要物质的量之和不变,完全燃烧时的耗氧量和生成水的量也分别不变。则下列有关判断正确的是
A.X、Y分子式中氢原子数一定要相同,与碳原子数的多少无关
B.若X为甲烷,则相对分子质量最小的Y是甲醇
C.若X为甲烷,则相对分子质量最小的Y是乙酸
D.X、Y的化学式应含有相同的氢原子数,且相差n个碳原子,同时相差2n个氧原子(n为正整数)
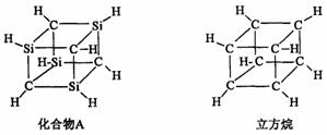
14、已知化合物A(C4Si4H8)与立方烷(C8H8)的分子结构相似,如下图:
则C4Si4H8的二氯代物的同分异构体数目为:
A.6 B.5 C.4 D.3
12、参照反应Br + H2 HBr +H的能量对反应历程的示意图,下列叙述中正确的是
A. 正反应为吸热反应
B. 加入催化剂,该化学反应的反应热变大
C. 正反应为放热反应
D. 加入催化剂可增大正反应速率,降低逆反应速率
13、最新研究表明生命起源于火山爆发,是因为火山爆发产生的气体中含有1%的羰基硫(COS),已知羰基硫分子中所有原子均满足8电子结构,结合周期表知识,有关说法正确的是
A、羰基硫的属于非极性分子
B、羰基硫沸点比CO2低
C、羰基硫的电子式为:
D、羰基硫分子中三个原子不可能处于同一直线上
11、M是一种治疗艾滋病的新药(结构简式见右图),已知M分子中-NH-COO-基团(除H外)与苯环在同一平面内,关于M的以下说法正确的是
A.该物质易溶于水
B.M能发生加聚反应
C.M的分子式为C13H12O2NF4
D.M分子内至少有13个碳原子在同一平面内
10、下列物质的用途不符合事实的是
A. 明矾:杀菌消毒 B. 苯酚:药皂中掺入苯酚用作消毒剂
C. 小苏打:治胃酸过多 D. 乙二醇:内燃机抗冻剂
9、脑白金主要成分的结构简式为:
下列对脑白金主要成分的推论不正确的是
A.其官能团和营养成分与葡萄糖相同
B.其分子式为C13H15N2O
C.该物质能与溴水反应
D.该物质能发生水解反应并生成乙酸
8、2002年诺贝尔化学奖表彰了两项成果,其中一项是瑞士科学家发明了“利用核磁共振技术测定溶液中生物大分子三维结构的方法”。在化学上经常使用的是氢核磁共振谱,它是根据不同化学环境的氢原子在氢核磁共振谱中给出的信号不同来确定有机物分子中的不同氢原子。下列有机物分子在氢核磁共振谱中只给出一种信号的是
A.HCHO B.CH3OH C.HCOOH D.CH3COOCH3
7、2006年4月22日是第37个世界地球日。我国今年地球日的主题是:“善待地球--珍惜资源、 持续发展”。你认为下列行为中不符合这一主题的是
A.开发太阳能、水能、风能、可燃冰等新能源、减少使用煤、石油等化石燃料
B.控制含磷剂的生产和使用,防止水体富营养化,保护水资源
C.研究采煤、采油新技术,尽量提高产量以满足工业生产的快速发展
D.实现资源的“3R”利用观,即:减少资源消耗(Reduce)、增加资源的重复使用(Reuse)、资源的循环再生(Recycle)
6、下列分离或提纯物质的方法错误的是
A.用渗析的方法除去淀粉中的Cl-
B.用加热的方法提纯含有少量碳酸氢钠的碳酸钠
C.用盐析后过滤的方法从油脂皂化混合物中分离出肥皂
D.用溶解、过滤的方法提纯含有少量硫酸钡的碳酸钡
5、在实验中不慎手被玻璃划破,可用FeCl3溶液应急止血,其主要原因是
A.FeCl3溶液具有杀菌消毒作用 B.FeCl3溶液能使血液凝聚
C.FeCl3溶液能产生Fe(OH)3沉淀堵住伤口 D.FeCl3能使血液发生化学作用