网址:http://m.1010jiajiao.com/timu3_id_412881[举报]
(14分)下图所示物质(部分产物和反应条件未标出)中,只有A是单质,常温下B和 C呈气态,且B是导致酸雨的大气污染物,W是淡黄色固体。
据此回答下列问题:
(1)物质W中所含有的化学键类型为_________,其阴、阳离子个数比为_________。
(2)物质C的结构式为____________。
(3)上图反应中不属于氧化还原反应的有______________(填写序号)。
(4)写出A和X反应的化学方程式_____________;若生成的B在标准状况下的体积为 22.4L,则反应中转移电子数目为_____________。
(5)请写出C和W反应的化学方程式:_______________。
(6)请写出X和Y反应的离子方程式:_________________。
查看习题详情和答案>>
(14分)下图所示物质(部分产物和反应条件未标出)中,只有A是单质,常温下B和C呈气态,且B是导致酸雨的大气污染物,W是淡黄色固体。
据此回答下列问题:
(1)物质W中所含有的化学键类型为 ,其阴、阳离子个数比为 。
(2)物质C的结构式为 。
(3)上图反应中不属于氧化还原反应的有 (填写序号)。
(4)写出A和X反应的化学方程式 ;若生成的B在标准状况下的体积为22.4L,则反应中转移电子数目为 。
(5)请写出C和W反应的化学方程式: 。
(6)请写出X和 Y反应的离子方程式: 。
查看习题详情和答案>>
(14分)下图所示物质(部分产物和反应条件未标出)中,只有A是单质,常温下B和 C呈气态,且B是导致酸雨的大气污染物,W是淡黄色固体。![]()
据此回答下列问题:
(1)物质W中所含有的化学键类型为_________,其阴、阳离子个数比为_________。
(2)物质C的结构式为____________。
(3)上图反应中不属于氧化还原反应的有______________(填写序号)。
(4)写出A和X反应的化学方程式_____________;若生成的B在标准状况下的体积为 22.4L,则反应中转移电子数目为_____________。
(5)请写出C和W反应的化学方程式:_______________。
(6)请写出X和Y反应的离子方程式:_________________。
(14分)下图所示物质(部分产物和反应条件未标出)中,只有A是单质,常温下B和C呈气态,且B是导致酸雨的大气污染物,W是淡黄色固体。![]()
据此回答下列问题:
(1)物质W中所含有的化学键类型为 ,其阴、阳离子个数比为 。
(2)物质C的结构式为 。
(3)上图反应中不属于氧化还原反应的有 (填写序号)。
(4)写出A和X反应的化学方程式 ;若生成的B在标准状况下的体积为22.4L,则反应中转移电子数目为 。
(5)请写出C和W反应的化学方程式: 。
(6)请写出X和 Y反应的离子方程式: 。
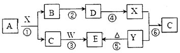
(14分)下图所示物质(部分产物和反应条件未标出)中,只有A是单质,常温下B和C呈气态,且B是导致酸雨的大气污染物,D是氧化物,W是淡黄色固体。![]()
据此回答下列问题:
(1)B、C、D的化学式分别为:B 、C 、D ;从物质分类角度,上图所给物质中属于钠盐的是 (填写化学式)。
(2)上图所给物质在6个反应中只做还原剂的有 (填写化学式)。
(3)上图反应中不属于氧化还原反应的有 (填写序号)。
(4)写出A和X反应的化学方程式 ;若生成的B在标准状况下的体积为22.4L,则参加反应的A的物质的量为 ,反应中转移的电子数目为 。
(5)请写出C和W反应的化学方程式: 。
(6)请写出X和 Y反应的离子方程式: 。