ÌâÄ¿ÄÚÈÝ

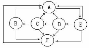
ͼʾÉú̬ϵͳÖÐ̼ѭ»·Ê¾Òâͼ£¬Í¼ÖС°¡ú¡±±íʾ̼µÄÁ÷¶¯·½Ïò¡£Çë»Ø´ð£º

(1)

A¡úEºÍE¡úB¹ý³ÌÖУ¬Ì¼·Ö±ðÒÔ________ºÍ________ÐÎʽÁ÷¶¯µÄ¡£

(2)

д³öͼÖк¬ÓÐËĸöÓªÑø¼¶µÄʳÎïÁ´¡£________£¨ÓÃ×ÖĸºÍ¼ýÍ·±íʾ£©

(3)

Èô¿¼ÂÇÆÏÌÑÌÇÊǹâºÏ×÷ÓõIJúÎï¼°ÓÐÑõºôÎüµÄÔ­ÁÏ£¬ÔòEÔÚºÚ°µÌõ¼þÏ£¬Ã¿Ð¡Ê±Êͷųö44 mgµÄCO2£¬¶øÔÚ¹âÕÕ³ä×ãµÄÌõ¼þÏ£¬Ã¿Ð¡Ê±ÊͷųöµÄ64 mgµÄO2£¬¾­¹ý10Сʱºó£¬¿É»ýÀ󵀮ÏÌÑÌÇΪ________ mg¡£

(4)

ÈôÓÉÓÚijÖÖÔ­Òòµ¼ÖÂCÖÖȺ´óÁ¿¼õÉÙ£¬BºÍDÖÖȺÊýÁ¿Ëæ¼´·¢ÉúµÄ±ä»¯ÊÇ________¡£

(5)

ÓÉÓÚÏÖ´ú¹¤ÒµµÄѸËÙ·¢Õ¹£¬ÈËÀà´óÁ¿¿ª²ÉºÍȼÉÕú̿ºÍʯÓÍ£¬Ê¹µØ²ãÖо­¹ýǧ°ÙÍòÄê»ý´æµÄÌ¼ÔªËØÔÚ¶ÌÆÚÄÚÊͷųöÀ´£¬¶Ô»·¾³²úÉúµÄÓ°ÏìÖ÷ÒªÊÇ________¡£

´ð°¸£º
½âÎö£º

(1)

CO2,º¬Ì¼ÓлúÎï

(2)

E¡úD¡úC¡úB

(3)

600

(4)

B¼õÉÙ,DÔö¶à

(5)

ʹ´óÆøÖеĶþÑõ»¯Ì¼µÄº¬Á¿Ñ¸ËÙÔö¼Ó£¬Ðγɡ°ÎÂÊÒЧӦ¡±£¬µ¼ÖÂÆøÎÂÉý¸ß¡£


Á·Ï°²áϵÁдð°¸
Ïà¹ØÌâÄ¿

Î¥·¨ºÍ²»Á¼ÐÅÏ¢¾Ù±¨µç»°£º027-86699610 ¾Ù±¨ÓÊÏ䣺58377363@163.com

¾«Ó¢¼Ò½ÌÍø