题目内容

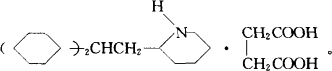
某高校曾以下列路线合成药物心舒宁(又名冠心宁),它是一种有机酸盐.

(ii)心舒宁结构式中间的圆点“·”表示形成盐.

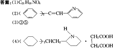
(1)心舒宁的分子式为________.

(2)中间体(Ⅰ)的结构简式是________.

(3)反应①~⑤中属于加成反应的是________(填反应代号).

(4)如果将⑤,⑥两步颠倒,则最后得到的是(写结构简式)________.

答案:
解析:

  

  解析:本题以一个实际制药的工艺流程为载体,考查考生有关的有机化学基础知识:

  其一,识别与正确书写有机化合物的结构式和分子式;

  其二,识别有机基本反应的类型;

  其三,运用正向思维和逆向思维,逻辑推导有关有机物结构的思维能力.

  试题对反应④的条件在给出“先加浓盐酸,再加NaOH浓溶液,△”的同时给出了“或加浓硫酸,△”,前者是实际的工艺条件,其中浓盐酸是使反应物分子中的羟基被氯原子取代,NaOH浓溶液及加热则是为了脱掉氯化氢,也可以从浓硫酸脱水来推理,从而可以推出中间体(Ⅰ)的结构:

  反应③是将α-甲基吡啶分作两部分,甲基上的氢原子和残余部分分别加在羰基的氧原子和碳原子上,并打开CO双键,它和反应⑤都属于加成反应.如果将⑤,⑥两步颠倒,那么丁烯二酸的烯键也会因加氢而饱和:


提示:

此题开始并没有列出任何信息,解题所用的全部信息均隐含于所给的反应路线之中.我们必须通过前后两种物质结构的对比进行分析,找出其中的隐含信息,才能解答题目中的相关问题.解题时要运用顺推法和逆推法相结合,即“两头堵”的方法(从要制备的物质和已知物质两端同时分析,最后在中间统一),求解出中间体(Ⅰ).再从(Ⅰ)出发,通过类比、对照,得出⑤,⑥两步反应颠倒后的最终产物的结构简式.


练习册系列答案
相关题目

违法和不良信息举报电话:027-86699610 举报邮箱:58377363@163.com

精英家教网