题目内容
如图所示的电路中,电源两端电压不变,设灯L电阻不变.当开关S1闭合,S2断开,滑动变阻器的滑片P移到B端时,R1的电功率为P1,电流表示数为I1;当开关S1断开,S2闭合时,R1的电功率为P1′,电流表示数为I2,此时灯L正常发光.当开关S1、S2都断开,滑动变阻器的滑片P在C点时,变阻器接入电路的电阻为Rc,电压表V1的示数为U1,电压表V2的示数为U1,已知U1:U2=3:2,Rc的电功率为18W,P1:P1′=9:25.电路通过断开、闭合开关以及滑动变阻器滑片P的移动,形成不同电路所消耗的最大电功率与最小电功率之比为3:1.求:(1)电流I1与I2的比值;
(2)灯的电阻RL与R1的比值;
(3)灯L正常发光2min所消耗电能W的大小.(请画出相关电路状态的等效电路图)
【答案】分析:(1)当S1闭合、S2断开,滑片P在B端时,R3连入电路中的阻值最大,L被短路,R1和R3组成串联电路;当S1断开、S2闭合时,灯正常发光,R3被短路,R1和L组成串联电路,而两次R1的阻值保持不变,可利用公式P=I2R求电流I1与I2的比值.
(2)当S1和S2都断开,滑片P在B端时,R1R2L组成串联电路,总电阻最大,总功率Pmin,当S1和S2都闭合时,电路中只有R1,总电阻最小,总功率Pmax.而两次电压相等,可利用公式
求灯L和R1的比值.
(3)当S1断开、S2闭合时,灯正常发光,R3被短路,R1和L组成串联电路,可利用公式P=
求电功率,再利用公式P=Wt求消耗的电能.
解答:解:当S1闭合、S2断开,滑片P在B端时,电路如图甲所示;
当S1断开、S2闭合时,灯正常发光,电路如图乙所示;
当S1、S2都断开,滑片P在C时,电路如图丙所示.

(1)如图甲、乙:
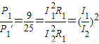
∵
,
∴
.
答:电流I1与I2的比值为
.
(2)当S1和S2都断开,滑片P在B端时,电路如图(A),总电阻最大,总功率Pmin;
当S1和S2都闭合时,电路如图(B),总电阻最小,总功率Pmax.

∵U一定,∴
,∴2R1=RL+R3①,
∴如图甲、乙,U一定,∴
,∴2R1=3R3-5RL②,
解①②式得:3RL=R3,R1=2RL,∴
.
答:灯的电阻RL与R1的比值为:
.
(3)如图丙:∴
,∴2R1=RL+3RC③,
将R1=2RL,代入③式,解得:RC=RL,
∴
,∴
,
如图乙,灯正常发光:
∵
,
∴
,
∴WL0=PL0t=32W×2×60s=3840J.
答:灯L正常发光2min所消耗电能为3840J.
点评:本题考查了开关断开和闭合对电路和用电器的影响,以及对电功率和电能公式的应用.
(2)当S1和S2都断开,滑片P在B端时,R1R2L组成串联电路,总电阻最大,总功率Pmin,当S1和S2都闭合时,电路中只有R1,总电阻最小,总功率Pmax.而两次电压相等,可利用公式
(3)当S1断开、S2闭合时,灯正常发光,R3被短路,R1和L组成串联电路,可利用公式P=
解答:解:当S1闭合、S2断开,滑片P在B端时,电路如图甲所示;
当S1断开、S2闭合时,灯正常发光,电路如图乙所示;
当S1、S2都断开,滑片P在C时,电路如图丙所示.
(1)如图甲、乙:
∵
∴
答:电流I1与I2的比值为
(2)当S1和S2都断开,滑片P在B端时,电路如图(A),总电阻最大,总功率Pmin;
当S1和S2都闭合时,电路如图(B),总电阻最小,总功率Pmax.
∵U一定,∴
∴如图甲、乙,U一定,∴
解①②式得:3RL=R3,R1=2RL,∴
答:灯的电阻RL与R1的比值为:
(3)如图丙:∴
将R1=2RL,代入③式,解得:RC=RL,
∴
如图乙,灯正常发光:
∵
∴
∴WL0=PL0t=32W×2×60s=3840J.
答:灯L正常发光2min所消耗电能为3840J.
点评:本题考查了开关断开和闭合对电路和用电器的影响,以及对电功率和电能公式的应用.
练习册系列答案
相关题目