题目内容
我们经常都要爬楼,你知道自己爬楼时的功率是多大吗?请你设计一个方案来测定它.要求写出测量仪器、主要实验步骤及功率的表达式(用实验所测得的物理量表示).
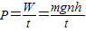
【答案】分析:首先确定实验原理为P=
,然后根据原理中的物理量来选择相应的器材进行测量.W表示做的功,需要先用磅秤测量质量计算重力,再用皮尺测量一节楼梯高,用公式W=Gh可以计算,时间可以用秒表测量.
解答:解:实验设计方案.
测量仪器:磅秤(或体重计)、刻度尺(或皮尺)、秒表.
实验步骤:①用磅秤测出人的质量m,则人的重力为G=mg;
②用刻度尺测出每阶楼梯的高度h,数出楼梯的总阶数n;则楼梯的总高度为H=nh;
③用秒表测出人上楼所用的时间t.
人上楼时的功率为
.
点评:这是一道实验设计题目,要在充分理解功率的基础上自己设计实验并测量功率,这样体现了学有所用,理论联系实际的新理念.
解答:解:实验设计方案.
测量仪器:磅秤(或体重计)、刻度尺(或皮尺)、秒表.
实验步骤:①用磅秤测出人的质量m,则人的重力为G=mg;
②用刻度尺测出每阶楼梯的高度h,数出楼梯的总阶数n;则楼梯的总高度为H=nh;
③用秒表测出人上楼所用的时间t.
人上楼时的功率为
点评:这是一道实验设计题目,要在充分理解功率的基础上自己设计实验并测量功率,这样体现了学有所用,理论联系实际的新理念.
练习册系列答案
相关题目