题目内容
一只标有“2.5V 0.5W”的小灯泡,要把它接在6伏的电源上,正常发光,必须串联一个多大的电阻?
【答案】分析:6V电源电压超过了额定电压,要正常发光,需串联一个电阻分担6V-2.5V=3.5V的电压,根据串联特点求解.
解答:解:∵当UL=2.5V时灯正常发光,
∴UR=6V-2.5V=3.5V
又∵灯L与R串联
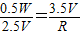
∴
即:
∴R=17.5Ω;
答:要把它接在6伏的电源上,正常发光,必须串联一个17.5Ω的电阻.
点评:理解白炽灯的额定电压和额定功率(铭牌),可以求白炽灯的电阻和灯正常发光(工作)时的电流.
解答:解:∵当UL=2.5V时灯正常发光,
∴UR=6V-2.5V=3.5V
又∵灯L与R串联
∴
即:
∴R=17.5Ω;
答:要把它接在6伏的电源上,正常发光,必须串联一个17.5Ω的电阻.
点评:理解白炽灯的额定电压和额定功率(铭牌),可以求白炽灯的电阻和灯正常发光(工作)时的电流.
练习册系列答案
相关题目